Introduction: A Persistent Threat to Poultry Health
Since its discovery in the 1930s, infectious bronchitis (IB) has remained a considerable challenge for poultry producers worldwide. Caused by a highly contagious coronavirus, IB affects the respiratory tract of chickens and may also impact both the reproductive and renal systems, leading to significant economic losses. In fact, its financial impact is second only to highly pathogenic avian influenza.
The virus’s ability to mutate rapidly has led to the emergence of numerous variants, making control efforts more complex. Despite these challenges, prevention through vaccination—combined with strict biosecurity measures—remains the most effective strategy for managing IB in modern poultry operations.
Understanding the Disease: High Contagion, Hidden Costs
IB’s high reproductive ratio means that a single infected bird can transmit the virus to 15–20 others. This rapid spread not only compromises flock health but also creates opportunities for secondary infections and production disorders to take hold.

Financial losses due to two production diseases (controlled and uncontrolled) in laying flocks (2018). A review of the financial impact of production diseases in poultry production systems (university of Reading) Submitted to Livestock Science.
What makes IB particularly insidious is its often subtle impact on performance metrics. Decreased feed conversion efficiency, poor flock uniformity, and increased mortality may not immediately point to IB, leading to underdiagnosis and delayed intervention. Raising awareness through routine diagnostics—such as blood sampling—and implementing robust vaccination programs are essential steps in mitigating these hidden costs.
Hatchery Vaccination: The Optimal Time for Protection
Spray vaccination has become the standard method for administering live IB vaccines. It can be performed at the hatchery on day one using automated cabinet or in-line sprayers. Later at the farm, manual backpack sprayers can be used. However, the hatchery offers a more controlled environment, making it the preferred setting for ensuring consistent vaccine delivery.
Effective vaccination requires precision and professionalism. Every chick must receive the correct dose of a properly reconstituted vaccine to develop a strong immune response. Inconsistent application or poor vaccine handling can lead to immunization failure, leaving flocks vulnerable to outbreaks.
Raising Awareness: The Role of Diagnostics
Accurate diagnosis is key to understanding the prevalence and impact of IB in the field. Conducting individual serologies on a sample of 20 birds per flock allows veterinarians to assess exposure levels and correlate them with performance indicators such as mortality, feed conversion, and condemnation rates due to airsacculitis.
To ensure meaningful results, it’s important to select appropriate challenge thresholds based on the ELISA kit used and the farm’s vaccination history. Statistical analysis further strengthens the reliability of these findings, enabling producers to make informed decisions about their health management strategies.
Spray Immunization: Precision Matters
The effectiveness of spray vaccination hinges on droplet size and distribution. Research shows that an average droplet size of 150 µm is ideal for respiratory uptake. However, uniform coverage across the chick box is equally important.
Link between spraying nozzles and chick vaccination quality

A. Conical nozzles system

B. Flat nozzles system
Problems often arise when conical nozzles are used in square or rectangular boxes, leading to uneven spray patterns and missed areas. Flat nozzles, by contrast, provide more consistent coverage, ensuring that all chicks receive the intended dose.
To maintain high vaccination standards, hatcheries should implement quality controls before, during, and after each vaccination session. Regular cleaning and maintenance of spray equipment are also essential to prevent contamination and mechanical failure.

Comparison of spraying machines nozzles, spray patterns and chick vaccination quality. The percentages are for informational purposes only. The outcomes can vary from one hatchery to another according to the equipment used, and the training received to use the machine. They should not be considered as definitive.
Field Performance: Linking Hatchery Practices to Farm Outcomes
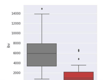
The impact of hatchery vaccination extends far beyond day one. In 2023, a European investigation examined 36 flocks that experienced unexpected increases in feed conversion ratios and mortality percentage, despite being vaccinated against IB and showing no signs of active infection.
Serological testing revealed IBV titers ranging from 1,000 to 14,000, with a median of 6,000—levels inconsistent with the expected response based on the vaccination protocol and ELISA kit used. These findings highlighted the importance of not only administering the vaccine but, by ensuring proper execution through regular monitoring.

Boxplot of individual IBV titers (Elisa Biochek kit)
In grey, before fixing the vaccination spray at the hatchery,
In red, after fixing the vaccination spray at the hatchery.
Significant difference between both groups (pval<0.05)
The widespread high IBV titers led to an examination of the vaccination process at the hatchery, where an issue with the spray application was identified. After resolving this issue, both the IBV titers and performance returned to normal levels, with IBV titers ranging from 1,000 to 2,000, rarely exceeding 4,000
Mortality percentages also stabilized below 3.2%, compared to over 25% of results being above 3% during the period of inadequate spray quality, reaching up to 4.7%.

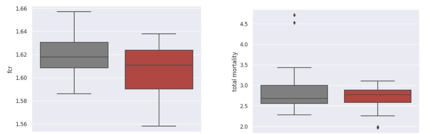
Impact of a proper vaccination spray quality on IBV titers and performance
On the left : feed conversion rate before (grey) and after (red) fixing the vaccination spray at the hatchery
On the right : mortality percentage before (grey) and after (red) fixing the vaccination spray at the hatchery
Visually improved performances once the vaccination spray fixed.
Conclusion: A Coordinated Approach for Lasting Protection
Infectious bronchitis continues to challenge poultry producers around the world, but it is not insurmountable. The key to effective control lies in a coordinated, science-based approach that integrates early vaccination, precise application, and ongoing monitoring.
Hatchery vaccination offers a unique opportunity to protect birds from the very beginning of their production cycle. However, its success depends on the quality of vaccine reconstitution, the accuracy of spray application, and the professionalism of the teams involved. Diagnostics play a vital role in identifying gaps in protection and guiding corrective actions. For continuous improvement, it is essential to integrate lot of new knowledge and technologies in a timely manner.
At Ceva Animal Health, we believe that integrated solutions— combining innovative vaccines, equipment and services — are the future of poultry health management.
By working together across the poultry chain, we can reduce the burden of IB, improve flock performance, and ensure a more sustainable and profitable future for poultry producers worldwide.
%20blog1%20last%20visual.png?width=1280&height=720&name=pour_maria_hubspot%20(1)%20blog1%20last%20visual.png)
Steps to aim at controlling IBV outbreaks through an integrated solution: vaccine, equipment and support/services
